중등 1학년 수학 > 문자와 식 > 항,계수,차수,동류항,단항식,다항식 수학용어 완벽 정리 연습문제 프린트 학습지
처음 중학교에 들어가면 낯선 문자와 낯선 식 때문에 수학이 어렵게 느껴질텐데요, 항, 차수, 단항식, 다항식, 동류항 등등 많은 수학 용어들이 수학을 어렵게 만드는 요인같습니다. 이런 용어들을 몰라도 문제를 풀 수 있지만, 용어를 정확하게 알면 수학 문제를 정확하게 읽고 이해할 수 있게 되기 때문에 꼭 정리할 필요가 있답니다.
자, 그럼 수학 용어들을 하나씩 격파하면서 식을 보는 눈을 키워보는 시간이 가지기로 해요.
항
항의 정의는
수 또는 문자의 곱으로 이루어진 식
이에요.
수 또는 문자의 곱으로 이루어졌기 때문에 다음과 같은 것들이 항이에요.

왼쪽부터 항을 분석해보면,

문자로만 이루어진 식도 있고, 수와 문자의 곱으로 이루어진 식도 있고, 수로만 이루어진 식도 있어요. 이때 수로만 이루어진 식을 상수항이라고 불러요.
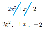
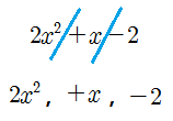
이제 항의 개수를 세는 법을 배워볼게요.

이와 같은 식이 있을 때, 항이 몇 개일까요? 항을 구별하는 방법은 간단해요. 다음처럼,

이렇게 부호를 포함하여 항을 바라보는게 쉽게 항을 구별하는 방법이에요. 만약 +, -와 같은 것을 항에 포함시키지 않는다면, +, -는 연산 기호 덧셈, 뺄셈으로 보겠다는 건데요, 이렇게 항을 구별하면 오히려 계산에 불편함을 가져오기 때문에 꼭 +,-부호를 함께 포함하여 항을 구별하도록 할게요.
다항식, 단항식
다항식의 '다'는 '많다'라는 뜻을 가지고 있어요. 여기서 질문! 그럼 항이 몇개 이상이면 다항식일까요?
보통 많다는 뜻 그대로 같으면 적어도 2개 이상일 것 같지만..?
사실 1개 이상! 입니다.
아니 세상에 어떻게 다항식인데 1개도 다항식이야? 이거 너무 한거 아니야?
네. 좀 너무 한 것 같아요. 그런데 수학에서는 1개 이상 그러니까 무엇이든 다 다항식이라고 할 수 있어요.
그럼 단항식은 몇 개일까요? 단항식의 '단'은 '하나'라는 뜻이 있기에 1개의 항으로 이루어진 식을 단항식이라고 합니다.
계수
계수라고 하면 보통 '문자 앞에 곱해진 수'라고 많이 이야기해요. 그것도 맞는 뜻이에요. 그런데 계수의 정확한 정의는 항에서 특정한 문자를 제외한 나머지 곱해진 부분이에요.
몇 가지 경우를 살펴보면서 계수의 뜻을 살펴볼게요.

x의 계수는 뭘까요? 네, 5 예요. 문자 x앞에 곱해진 수가 5니까요. 방금 x의 계수를 물어봤으니 5x라는 항에서 x를 제외한 나머지 곱해진 부분을 찾는거랍니다.

그럼 2ab에서 ab의 계수는 무엇일까요? 네 어렵지 않죠? 바로 2 입니다. 2ab라는 항에서 ab를 제외한 곱해진 부분은 2 이기 때문이에요.

그럼 2ab에서 b의 계수는 무엇일까요?

네 b의 계수는 2ab라는 항에서 b를 제외한 나머지 부분이므로 2a가 된답니다. 이렇게 꼭 계수는 숫자여야 하는게 아니에요. 보통은 숫자를 많이 물어보긴 하지만요.
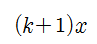
그럼 다음 식에서 x의 계수는 무엇일까요?

단순히 문자 앞에 곱해진 수로만 학습한 학생은 이 문제가 어렵겠지만, 계수의 정확한 뜻을 아는 학생은 쉽게 맞출 수 있답니다.

(k+1)이 x의 계수가 되는 것을 이제 알 수 있겠죠?
계수를 묻는 다음 문제를 한 번 풀어볼게요.

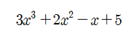
먼저 앞서 배운 항 개념으로 위 식에서 항을 구별해볼게요.

4개의 항으로 이루어진 식이에요. 이제 하나씩 계수를 찾아볼게요.

삼차항의 계수를 찾아보면,

3이라는 것을 알 수 있어요.
일차항의 계수는 무엇일까요?

-1입니다. 이제 계수를 찾는 법을 알아봤으니, 차수와 동류항에 대해서 알아봐요.
차수
차수란 항에서 어떤 문자가 거듭하여 곱해진 수를 뜻해요.

차수가 3인 위와 같은 항을 '삼차항'이라고 불러요. 이미 앞에서 이차항, 일차항과 같은 용어를 사용할 때 사실 차수 개념을 사용하여 항을 부른거랍니다.
어떤 항이 몇 차항인지 부를 때에는 특정한 문자 기준을 말해줘야해요. 어떤 문자에 대한 차수인지에 따라서 같은 항이라도 차수가 달라질 수 있답니다.
가령, 다음과 같은 항이 있다고 해볼게요.

이 항은 2,x,y,y의 곱으로 이루어진 항이에요. 그럼 이 항은 몇 차항일까요?
어떤 문자를 기준으로 하느냐에 따라 달라져요. 만약 'x에 대한' 몇 차항이냐고 물으면,

그런데 만약 'y에 대한' 몇 차항이냐고 물으면,

그런데 만약 'x, y에 관한' 몇 차항이냐고 물으면 어떻게 될까요?

이라고 한답니다. '어? 3이라는 수가 없는데 어떻게 삼차항이에요?' 라고 물을 수 있어요.
이때는 x, y에 관한이라고 했기 때문에 각각의 문자가 곱해진 수를 더하여 차수를 말해야 한답니다.
만약 여러분이 3이라는 수가 보이면서 삼차항이라고 했던 항은 다음과 같을 거에요.

a에 대한 삼차항이라고 할 수 있어요. 차수를 읽는 법에 대해 알아봤어요. 그럼 동류항이 무엇일까요?
동류항
동류라는 말 뜻은 말 그대로 동(같은),류(무리)니까 같은 무리라고 할 수 있는 항, 닮음꼴인 항 정도로 이해할 수 있어요.
동류항의 뜻은 문자와 차수가 각각 같은 항이에요.

2x와 6x에서 문자를 비교하면 모두 x라는 문자를 가지고, 차수가 1이므로 동류항이에요. 계수 2,6은 동류항의 기준이 아니랍니다. 문자를 잘 보셔야 해요.
그럼, 다음은 동류항일까요?

두 항의 문자의 종류를 보면, 왼쪽의 항은 x, y 오른쪽의 항도 x, y라는 문자를 가지네요. 그럼 동류항일까요? 각각의 차수도 비교해봐야해요.

문자의 종류는 둘 다 x, y이고, 각각의 차수도 x는 2차, y는 1차로 동일해요. 따라서 동류항이 맞아요.
그럼 다음은 동류항일까요?

왼쪽항의 문자의 종류는 a, b, c이고 오른쪽 항의 문자의 종류도 a, b, c예요. 문자의 종류는 같지만, a가 곱해진 개수가 다르므로 동류항이 아닙니다.
이렇게 동류항은 문자의 종류도 같아야하고, 각각의 문자의 차수도 같아야 한다는 사실을 기억하세요.
이렇게 문자와 식에 대하여 수학 용어들을 살펴봤어요.
항, 계수, 차수, 동류항, 다항식, 단항식 등등 수학 용어를 완벽하게 정리한다면, 반드시 문제를 해석하는데 도움이 될거에요.
이미지 하단 링크를 누르면 인공지능 수학 문제 생성 웹사이트 '모두매쓰'로 이동할 수 있습니다. '모두매쓰'는 초중고 기초연산부터 수능기출까지 수학 문제를 만들어 출력할 수 있거나 한 문제씩 풀 수 있는 온라인 학습 사이트예요. 기초가 약한 학생의 수학 학습에 매우 유용하니 추천드립니다!


중등 1학년 수학 > 문자와 식 > 항,계수,차수,동류항,단항식,다항식 수학용어 완벽 정리 연습문제 프린트 학습지
'중등 수학' 카테고리의 다른 글
| 중등 1학년 수학 > 절댓값의 정의(뜻), 잘못된 개념 고등까지 간다 (0) | 2024.07.12 |
|---|---|
| 중등 1학 수학 > 일차방정식의 활용 > 거리, 속력, 시간 문제① - '거리'가 등식의 기준인 문제유형 (0) | 2024.07.12 |
| 중등 2학년 수학 > 단항식의 계산 > 지수법칙 개념정리, 연습문제 프린트 학습지 (0) | 2024.07.11 |
| 중등 3학년 수학 > 무리수를 둔 수학자 히파수스(feat. 수리남 피타고라스) (0) | 2024.07.11 |
| 중1 수학 > 일차방정식의 활용 > 소금물의 농도, 소금의 양 공식과 원리 + 프린트 학습지 (0) | 2024.07.11 |
